Mathematik
«Mathematik ist die Sprache der Natur.»
„Das Buch der Natur ist in der Sprache der Mathematik geschrieben.“ Mit dieser Aussage betonte Galileo Galilei die Wichtigkeit der Mathematik als Werkzeug zur Beschreibung von Phänomenen und Vorgängen der Natur. Die Anwendbarkeit der Mathematik beschränkt sich aber längst nicht mehr nur auf die Naturwissenschaften. Hinter vielem Alltäglichem steckt ein Stück Mathematik – mal eher versteckt, mal offensichtlich erkennbar.
Mathematik ist aber auch als eigenes Gebiet interessant. Sie bietet viele Möglichkeiten, an Problemen zu knobeln oder immer wieder schöne Zusammenhänge zu entdecken. Dadurch werden analytisches Denken, räumliches Vorstellungsvermögen und strukturiertes Problemlösen gefördert.
Grundlagenfach Mathematik
In der Auseinandersetzung mit mathematischen Inhalten werden Fähigkeiten wie Argumentieren, Erkennen von Strukturen und Mustern, Kommunizieren und Klassifizieren gefördert.
Dabei schult Mathematik das exakte Denken und das Abstraktionsvermögen. Zudem trägt sie mit ihrer Sprache aus Symbolen, Bildern und Formeln zu einem klaren Sprachgebrauch bei.
Folgende Themen werden im Grundlagenfach Mathematik ausführlich behandelt.
Zahlenräume
Eine Zahl ist nicht einfach ein Zahl; es gibt spezielle und weniger spezielle Zahlen. So gibt es zum Beispiel die natürlichen Zahlen, die man mit den Fingern abzählen kann, die rationalen Zahlen, die sich als Bruch darstellen lassen, oder auch irrationale Zahlen, dessen Nachkommastellen nie aufhören und auch nie periodisch werden. Es gibt sogar sogenannte imaginäre Zahlen, die dann nicht mehr auf der Zahlengerade liegen, sondern irgendwo daneben.
Gleichungen lösen
Möchte man ein Problem mathematisch lösen, kann man versuchen, die gesuchte Grösse als Variable auszudrücken und den Zusammenhang mit den bekannten Grössen als Gleichung darzustellen. Dabei kann es sein, dass die gesuchte Grösse quadriert wird und das Problem zwei verschiedene Lösungen hervorbringt. Oder das Problem hat etwas mit einer Schwingung oder einem sich wiederholenden Phänomen zu tun, sodass man eine sogenannte trigonometrische Funktion für die Lösung heranziehen muss, die dann unendlich viele Lösungen hervorbringen kann. Es könnte auch sein, dass man mehrere Gleichungen aufstellt, die gleichzeitig erfüllt werden müssen und man ein System von Gleichungen erhält.
Geometrische Berechnungen durchführen
Aus der Sekundarschule sind bereits einfache geometrische Berechnungen bekannt, in denen zum Beispiel ein Winkel berechnet werden muss. Im Gymnasium wird die Berechnung an Figuren mit Hilfe der sogenannten Trigonometrie vertieft und ausgebaut. Zusätzlich kommt die Vektorgeometrie dazu. Diese erlaubt es, dreidimensionale Geraden, Ebenen und Kugeln mathematisch auszudrücken. So lassen sich zum Beispiel die Koordinaten eines Schnittpunktes oder die Richtung eines an einer Kugel reflektierten Lichtstrahls berechnen.
Folgen und Reihen
Viele Abläufe in der Natur und Technik können als Zahlenfolgen aufgefasst werden. Beispiele sind Populationsgrössen in der Biologie oder der radioaktive Zerfall in der Physik. Im Gymnasium werden zwei spezielle Typen von Folgen genauer untersucht. Einerseits Folgen, bei welchen die Differenz von der einen Zahl zur nächsten immer gleich ist (z.B. 3,7,11,15..) und andererseits Folgen, bei welchen der Quotient von einer Zahl und der nächsten immer gleich ist (z.B. 1,2,4,8,16...).
Wahrscheinlichkeit
Einfache und mehrstufige Zufallsexperimente spielen eine zentrale Rolle in diesem Bereich. Ebenso wird die bedingte Wahrscheinlichkeit genauer betrachtet. Das Thema Wahrscheinlichkeit wird bei uns im Referatesystem (ähnlich der Vorlesung an der Uni/ETH) unterrichtet. Dabei werden die gehörten Inhalte in Übungen angewandt und besprochen.
Analysis
In der Analysis im dritten und vierten Jahr werden Funktionen genauer untersucht. Dabei wird zum einen in der Differentialrechnung die Steigung einer Funktion genauer untersucht und in der Integralrechnung die Fläche unter einer Funktionskurve. Dabei ergeben sich verblüffende Resultate und ein grosses Gebiet von Anwendungsbereichen.
«Die Mathematik ist das Instrument, welches die Vermittlung bewirkt zwischen Theorie und Praxis, zwischen Denken und Beobachten: Sie baut die verbindende Brücke und gestaltet sie immer tragfähiger. Daher kommt es, dass unsere ganze gegenwärtige Kultur, soweit sie auf der geistigen Durchdringung und Dienstbarmachung der Natur beruht, ihre Grundlage in der Mathematik findet.»
David Hilbert (1862-1943)
Schwerpunktfach Physik und Anwendungen der Mathematik
- die Natur in ihrer Vielfalt beobachten und – wenn möglich – mathematisch beschreiben
- Experimente durchführen und auswerten
- Gesetzmässigkeiten vermuten und beweisen
- Abläufe simulieren und vorhersagen
- Beschreibungsformen entwickeln in Worten, mit Zahlen, Formeln und Figuren
- technische Nutzungen kennenlernen
Studien und Berufe
Für die folgenden Berufsziele und Studienrichtungen bietet der Schwerpunkt «Physik und Anwendungen der Mathematik» eine sehr gute Vorbereitung:
- Mathematiker/in, Physiker/in
- Informatiker/in, rechnergestützte Wissenschaften, Kommunikationstechniker/in
- Architekt/in, Bauingenieur/in, Geomatikingeneur/in
- Maschineningenieur/in, Elektroingenieur/in
- Mikrotechnik-Ingenieur/in, Werkstoffingenieur/in, Forstingenieur/in
- Geologe/Geologin, Geograph/in
- Arzt/Ärztin, Apotheker/in, Physiotherapeut/in
- Pilot/in
- Lehrberufe in mathematisch-naturwissenschaftlichen Richtungen auf Sekundar- oder Mittelschulstufe
Voraussetzungen
- Freude an der Natur und Interesse an deren Beobachtungen
- Interesse an Fragestellungen aus dem Bereich der Mathematik und den Naturwissenschaften
- Bereitschaft, an kniffligen Problemen zu arbeiten und der Wille, eine Lösung zu finden
- Lösungen exakt und gründlich auszuarbeiten
- Ausdauer
Themen aus der Physik
Mechanik
Die im Grundlagenfach erarbeiteten Basiskenntnisse in der Mechanik weiten wir aus. So können wir bei Würfen auch den Luftwiderstand berücksichtigen und damit einen Fallschirmspringer auch gefahrlos landen lassen. Es wird möglich, die krummen Flugbahnen von Bällen zu begreifen und zu verstehen, warum Flugzeuge fliegen können. Frisbee, Kreisel, rollende Räder und andere rotierende Körper lernen wir physikalisch zu beschreiben. Neben der Energie finden wir mit dem Impuls und dem Drehimpuls zwei weitere Grössen, die sich nie ändern.
Elektromagnetismus
Mit den Kirchhoffschen Gesetzen können wir in komplizierten elektrischen Netzwerken die Ströme und Spannungen bestimmen. Auch lernen wir neben dem elektrischen Widerstand die beiden anderen Grundbausteine der Elektronik kennen, den Kondensator und die Spule. Mit hnen lassen sich in der Wechselstromtechnik sehr interessante Anwendungen berechnen. Solche Wechselstromkreise lassen uns Sender und Empfänger von elektromagnetischen Wellen bauen. Diese Wellen kommen zum Beispiel als Licht und UV-Strahlung natürlich vor, haben aber auch sehr wichtige technische Anwendungen: WLAN oder die Übertragung von TV-, Radio- und Handy-Signalen.
Thermodynamnik
In der Thermodynamik lernt man, dass man nicht beliebig weit nach unten abkühlen kann und was überhaupt genau die Temperatur ist. Mit dem zweiten Hauptsatz wird klar, dass man zum Heizen von Wohnungen nicht einfach die Wärme dem Boden entziehen kann. Dies scheint zwar eine umweltschonende Idee zu sein, aber die ganze Energie würde wieder in den Boden zurückfliessen.
Moderne Physik
Während wir im Grundlagenfach Physik nur einen knappen Einblick in ein bis zwei Themen der modernen Physik geben können, haben wir hier mehr Zeit, die Ideen von Albert Einstein (Spez. Relativitätstheorie), Erwin Schrödinger (Quantenmechanik) und anderen nachzuvollziehen. Wir lernen die Grundlagen kennen, sodass wir genauer wissen, was es mit dem Zwillingsparadoxon, der Verkürzung von Raumschiffen oder Schrödingers Katze auf sich hat. Auch geben wir dir einen Überblick über die Welt der kleinsten Teilchen, der Quarks, der Fermionen, der Higgsteilchen und was noch mehr sich für unteilbar hält. Auch erfahren wir, was die Welt, also diese Teilchen, im Innersten zusammenhält.
Themen aus den Anwendungen der Mathematik
Raumgeometrie
Wie kann ein räumliches, 3-dimensonales Objekt auf einem ebenen, 2-dimensionalen Blatt Papier dargestellt werden?
In der Raumgeometrie geben wir auf diese fundamentale Fragestellung verschiedene Antworten (Konstruktionen im Schrägbild resp. im Grund- und Aufriss) und schulen so das räumliche Vorstellungsvermögen. Zudem werden wir mit der Vektorgeometrie ein Werkzeug kennenlernen, welches einen rechnerischen Zugang zu 3-dimensionalen Situationen bietet.
Matrizen
Eigentlich sind Matrizen nur eine rechteckige Anordnung von Zahlen. Doch ihre Anwendungen sind zahlreich und sehr nützlich.
So kann man mit ihnen grosse Gleichungssysteme einfach lösen, geometrische Abbildungen (z.B. Drehungen, Streckungen, …) algebraisch darstellen oder Produktionsvorgänge beschreiben, bei denen man die Endprodukte in Abhängigkeit der Rohstoffe kennt. Zudem können wir Matrizen nutzen, um Texte zu verschlüsseln und wieder zu entschlüsseln.
Kugelgeometrie
Neben der „klassischen“ Geometrie in der Ebene gibt es noch verschiedene andere Geometrien. Wir untersuchen im Speziellen die Geometrie auf der Kugel und werden z.B. feststellen, dass ein Dreieck nicht mehr von Geraden begrenzt wird, sondern neu wird ein Kugel-Dreieck durch (Gross-)Kreise festgelegt. Zudem ist die Innenwinkelsumme im Kugel-Dreieck immer grösser als 180° und der Satz von Pythagoras gilt auch nicht mehr.
Mit neuen und z.T. überraschenden Gesetzen werden wir in der Lage sein, Routen von Flugzeugen und Schiffen berechnen zu können.
Differentialgleichungen
Mit Differentialgleichungen können komplexe Situationen mathematisch modelliert werden. Diese spielen bei der Beschreibung aller Situationen eine Rolle, bei welchen der momentane Zustand eines Systems die Tendenz seiner Veränderung mitbestimmt. Anwendungen lassen sich in allen naturwissenschaftlichen Bereichen finden, z.B. in der Epidemiologie: Wie breitet sich eine Krankheit aus? Wann ist der Höhepunkt erreicht?
Die Stundentafel im Lehrplan Physik aus dem Jahre 2008 hat sich geändert: neu gilt: 1. Klasse: -, 2. Klasse: 2, 3. Klasse: 2, 4. Klasse: 2
«Wer sich traut, kann nur gewinnen.»

Ergänzungsfach «Anwendungen der Mathematik»
Im Ergänzungsfach werden bedeutsame Gebiete der Mathematik behandelt, auf welche im Grundlagenfach wenig oder gar nicht eingegangen werden kann.
Wahrscheinlichkeit und Statistik
Aufbauend auf dem Grundlagenfach werden weitere Themen aus der Wahrscheinlichkeitsrechnung behandelt und in die Statistik mit ihren wichtigen Anwendungen eingeführt.
In verschiedenen Ländern wurde z.B. die Grösse der Storchpopulation mit der Geburtenzahl verglichen. Das Ergebnis: Je mehr Störche, desto mehr Geburten.
Die Interpretation und vor allem Schlussfolgerungen aus solchen Zusammenhängen sind aber oftmals schwierig und heikel.
Komplexe Zahlen
Es gibt quadratische Gleichungen, die in den reellen Zahlen unlösbar sind. Das einfachste Beispiel ist x2 = –1. Die Menge der reellen Zahlen lässt sich aber erweitern zur Menge der komplexen Zahlen. In dieser Zahlmenge hat nun jede Gleichung Lösungen. Anwendungen finden die komplexen Zahlen auch in den Naturwissenschaften.
Differentialgleichungen
In einem durch Chemikalien verschmutzten See fliesst verschmutztes Wasser ab und gleichzeitig sauberes Wasser hinein. Wie schnell verändert sich dadurch die Wasserverschmutzung im See? Oder: Wie ändert sich z.B. die Bewegungsgleichung eines Pendels, wenn es in Wasser anstatt in der Luft schwingt?
Solche und ähnliche Prozesse werden mathematisch mit Differentialgleichungen modelliert. Diese spielen bei der Beschreibung aller Situationen eine Rolle, bei welchen der momentane Zustand eines Systems die Tendenz seiner Veränderung mitbestimmt. Weil das in sehr vielen Situationen der Fall ist, sind Differentialgleichungen ein ebenso nützliches wie wichtiges Instrument.
Matrizen
Eigentlich sind Matrizen nur eine rechteckige Anordnung von Zahlen. Doch ihre Anwendungen sind zahlreich und sehr nützlich.
So kann man mit ihnen grosse Gleichungssysteme einfach lösen, geometrische Abbildungen (z.B. Drehungen, Streckungen, …) algebraisch darstellen oder Produktionsvorgänge beschreiben, bei denen man die Endprodukte in Abhängigkeit der Rohstoffe kennt. Man verwendet sie sogar dazu, Texte zu verschlüsseln und wieder zu entschlüsseln.
Aus dem Unterricht
Unterrichtsbeispiel Mengenlehre
Unterrichtsbeispiel Simulation
Deine Kameradin schlägt dir folgendes Spiel vor: «Du darfst drei Würfel werfen. Tritt dabei mindestens eine Sechs auf, so hast du gewonnen und ich gebe dir eine Murmel. Wenn keine Sechser vorkommen, habe ich gewonnen und du gibst mir eine Murmel».
Auf den ersten Blick scheint dir das Spiel fair zu sein, denn du überlegst rasch, dass für jeden Würfel die Wahrscheinlichkeit eines Sechser 1/6 beträgt und 3 mal 1/6 wäre 1/2...
Aber ist es wirklich so?
Es gibt zwei Möglichkeiten das Problem anzupacken, entweder statistisch oder kombinatorisch (3. Jahr im Grundlagenfach). Die statistische Lösung entspricht dem realen Spiel. Du simulierst das Werfen der Würfel, indem du im Programm sehr oft 3 Zufallszahlen zwischen 1 und 6 erzeugst und die Gewinnfälle zählst und daraus die relative Häufigkeit bestimmst.
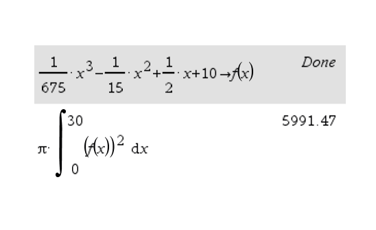
Unterrichtsbeispiel Rotationskörper

Modellieren eines Kruges mit einer Polynomfunktion.
- Wieviel Wasser hat Platz?
- Und wenn man nur bis zur halben Höhe füllt?
- Auf welcher Höhe müsste man die 5 Liter Marke setzen?